Exercise, Aging, and Weight Loss in High Perspective (below)

Exercise, Aging, and Weight Loss in High Perspective (below)
We follow up with Daniel Lieberman’s book “Exercise” on the real benefits of exercise and the most beneficial ways to exercise.
If you’re not an athlete, don’t have high expectations of physical beauty, and don’t take pleasure in ‘hitting the gas’ all day long, then exercise has only one function for you, and that’s for your health. The human body is the product of millions of years of evolution, it’s essentially a very good thing, and it doesn’t mean you any harm: as long as you normally use it, your body is normal and healthy.
Yet modern life, which has become commonplace since agricultural times and especially in the last few decades, is not normal for this body. The fact that we have to add exercise as an extra item in our lives is to compensate for the abnormality of modern life, to normalize the body.
We’re going to talk about three of the most abnormal phenomena of modern life and ways to deal with them, then a philosophy of exercise based on the principle of antifragility, and finally the most cost-effective method of exercise that is now recognized in the academic world.
✵
- The first anomaly is obesity. *
The root cause of so many people being obese these days is that it’s so easy to get food. In this day and age foods rich in sugar and fat are cheaper than foods not rich in those two things, and that’s too amazing for the body to know how to deal with.
Simply put, the body is very sensitive to temporary changes in weight, but lacks the ability to regulate long-term changes in weight. If you haven’t eaten enough for a day or two and have lost some weight, the body will take steps to help you regulate your energy, such as asking you to eat more; but the body doesn’t take into account the fact that you are now significantly overweight. The body only recognizes current feelings.
This makes it difficult to lose weight with both exercise and dieting.
If you exercise, your body will ask you to eat more. That’s why workout diets are slow to work, and it can take months or even a year for regular-intensity workout routines to have noticeable results - but the benefit is that the body slowly adapts to the new energy balance, so it doesn’t bounce back.
Dieting is a faster way to lose weight, but out of a dieting state the body will make you crave food - so once the dieting stops, it’s likely to bounce back.
But regardless, obesity is the body’s biggest problem, and obesity increases the risk of various diseases. And be warned! Obesity is more dangerous than inactivity: the effect of obesity on mortality is nearly twice the effect of inactivity on mortality. Lieberman says-
*”If you have to choose between being “obese but in good health” and being “thin but in poor health”, the evidence is overwhelmingly in favor of being “thin but in poor health”. “. *
✵
- The second anomaly is sedentary. *
According to Americans, in 2009, the average amount of time people spent sitting in a day increased by 43% from 1965. I’m afraid the Chinese are about the same. The body shouldn’t be used to sitting all day.
Being sedentary exacerbates obesity because when you’re sitting comfortably in a chair, your muscles are under little to no stress. In contrast, just standing burns 8 to 10 percent more energy. People are often immobile when they are sedentary, and an immobile body accumulates fat and sugar in the bloodstream, which can lead to chronic mild inflammation throughout the body. Not to mention that being sedentary can lead to muscle stiffness and more.
The bad news is that exercise doesn’t restrain sedentary behavior. But the good news is that it’s easy to combat sedentary behavior! All you have to do is get up and walk around every now and then to counteract most of the disadvantages. You don’t need a standing desk to stand all day, and the difference in energy expenditure is not a major one.
Lieberman’s approach is to “sit energetically” - don’t sit down for more than 30 minutes at a time, and ideally get up and walk around every 12 minutes. Even if you’re not, a little unconscious physical activity while you’re sitting, such as wiggling around in your chair, is much better than not moving at all.
An important realization is that the most harmful sedentary behavior isn’t in the office - no studies have shown that occupational sedentary behavior increases the risk of death. You’re going to be somewhat active when you’re working anyway. The biggest problem is sedentary at home during leisure time, such as half lying on the couch for long periods of time watching TV and swiping your cell phone.
✵
- The third anomaly is aging before one’s time. *
As we said in the last lecture, hunter-gatherers were quite fit until they were 60 or 70 years old, but people in modern life are not quite as fit before they reach 50 years of age. The fundamental reason for this is that we actively reduce the intensity of our activities.
Before the age of seventy, to a large extent, it’s not aging that makes you exercise less-it’s that you’re aging because you’re exercising less.
–I think this is the single most important piece of advice for middle-aged and older people.
Aging is indeed a most normal natural phenomenon, and everyone ages. Oxidation of cellular molecules by free radicals, damage to mitochondria, glycation reactions in body tissues, shortening of chromosomal telomeres …… All of these mechanisms are aging us.
However, please note that most of these mechanisms that age us can be intervened, repaired and prevented. It may be that you exercised all day yesterday and felt quite a bit older at night - but after you’ve had a good night’s sleep, your body automatically makes certain repairs and you get some reversal to the point where you’re actually a little bit younger this morning than you were last night. Normal aging isn’t a straight downward spiral, it’s a spiral of fluctuations.
Exercise is the best way to repair and even reverse aging. There was a particularly extreme experiment that took five healthy young men in their twenties and first made them stay in bed for three weeks straight - resulting in multiple indicators of their bodies showing a forty year old state: inactivity that exacerbated aging. But next, the researchers put these subjects through eight consecutive weeks of intense exercise, and the result was that not only did their bodies return to their twenties, but they were also improved from before.
So let’s think about the scenario of those who actively choose not to move. Their bodies must be aging faster. In fact, the so-called “age-related diseases” such as type 2 diabetes are not caused by “age” per se, but by the accumulation of obesity and inactivity in the body with age. You don’t necessarily get sick when you get old; you get sick when you accumulate inactivity into old age.
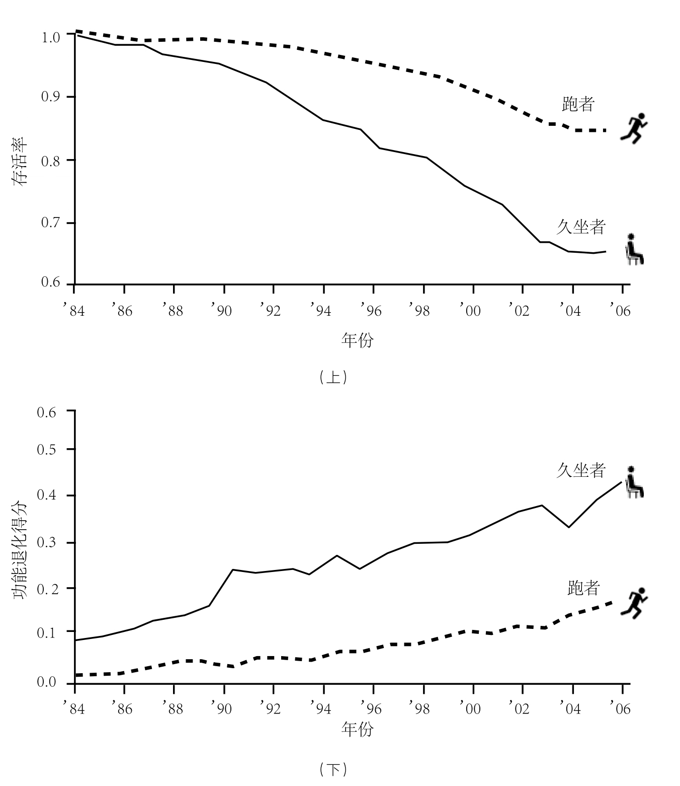
Look at the following chart–

The graph talks about the change in mortality rates over a twenty-year period between a group of regular runners and a group of habitually sedentary people. The former are significantly less likely than the latter to suffer from a variety of diseases. Taken together, the decline in mortality from regular running is equivalent to making you fifteen years younger than your opponent over a twenty-year period.
Whether you are physically fit after age eighty depends largely on genes, and whether you are physically fit before age eighty depends largely on exercise. But the good news is that exercise can be started at any time in life and can be beneficial.
The biggest surprise these studies bring to the table, though, is an explanation of why exercise leads to body repair.
✵
It’s an ‘anti-fragile’ mechanism, meaning that torturing the body to a certain extent makes it stronger instead.
I understand that this mechanism is not completely settled at this point, hence the name “the ‘costly repair’ hypothesis “. The story goes like this. The body is supposed to repair itself, reversing the oxidation, damage, and so on that make people age. But the repair function is very energy consuming, so it is not normally turned on, and the body’s strategy is to prioritize functions like exercise, energy accumulation, and reproduction.
And when you do exercise with a certain intensity, the body is going to be damaged in some way. For example, because you’re using more oxygen, the oxidation of the cells in your body is accelerated; you’re also creating some damage to your muscles, your body turns on an inflammatory response, and so on. Simply put, you just got older after a workout.
But! This turns on your body’s self-repair. As soon as the workout is over, the repair begins. The best part is that this repair will not only fix the damage from this workout, but it will also repair some of the body’s previous damage. Repair actions include renewing energy reserves, lowering cortisol levels, producing antioxidants, removing waste cells, and so on and so forth. Your body gets a little rebirth. This is the ‘Super Value Repair’.
The graph below shows the change in your body’s energy expenditure before and after a workout - the

The body’s resting metabolic rate remains higher than usual for several hours after the workout - this extra energy expenditure is used for repair. Not to mention that the repair activity also burns off some of the fat.
Lieberman draws an analogy, saying, “This process is equivalent to when you spill something in the kitchen and then clean it thoroughly, and in the end the whole kitchen becomes cleaner than it was before.”
How nice you say! Unfortunately, the body only turns on the super-repair with exercise - things like cold showers, prolonged fasting, quitting carbohydrates, strongly stimulating the digestive tract with spicy foods, including taking all sorts of medications, don’t have this effect. Maybe intermittent fasting will have some effect. The most reliable method is exercise.
That’s the biggest benefit of exercise.
✵
Understanding these principles, we probably know how to workout.
First, as I understand the book, walking is not exercise. Lieberman doesn’t explicitly say so, but I understand that walking doesn’t turn on the super-value fix because walking doesn’t exacerbate oxygen consumption at all. Sure walking is better than being sedentary, but walking doesn’t reverse the effect, walking is a break.
Lieberman cites a variety of research evidence, and arguably some academic consensus, that there are four items of exercise you need for good health.
1) Moderate-intensity aerobic exercise: brisk walking, jogging, bicycling.
The criteria are that your breathing will speed up, there is a slight feeling of not being able to catch your breath, you can still speak normally, but you can’t sing well. Your heart rate will speed up and your heart rate should be 50% to 70% of your maximum heart rate.
2) Moderate to high intensity aerobic exercise: fast running, but not sprint running.
The standard is a heart rate of 70% to 85% of your maximum heart rate; you will be out of breath, and you will be able to speak only a few words, not sentences.
3) High-intensity interval training: short sprint runs.
Heart rate exceeds 85% or 90% of your maximum heart rate; you will run until you feel like choking. Run each set of sprints for 10 to 60 seconds, rest and run again.
4) Strength training: muscle stretching and such.
Aerobic exercise is the most core workout with the most benefits. For example, it is good for cardiovascular, opens up the body to repair, makes you lose weight albeit slowly, but surely, and so on. Strength training, on the other hand, is good for preventing muscle atrophy.
Academic advice is to just do 150 minutes of moderate or medium-high intensity cardio plus one or two strength training sessions per week. If you can do high-intensity cardio, then the time can be cut in half - but Lieberman suggests sticking with moderate cardio as it has more benefits than high-intensity interval training. The biggest benefit of high intensity is the time savings.
If you’re trying to lose weight, it’s best to increase your moderate cardio time to 300 minutes per week.
Either way, this workout regimen is not difficult. If you work out five days a week, you only need 30 minutes a day. We are this close to a hunter-gatherer’s normal body with this much exercise.
✵
Actually, a lot of people who never work out live pretty well. Trump, for example, never works out and drinks coke and eats burgers all day. Maybe he has good genes, or maybe he actually has something wrong with his body and is secretly on some kind of medication. 50% of Americans never work out, but modern medical care also helps them live into their 80’s, which is longer than a lot of hunter-gatherers.
But knowing all this, I’m sure you’ll choose to exercise.
*Remember: the three worst things modern people can do to their bodies are smoking, obesity, and inactivity. *
Habits, in my opinion, are now one of the most important indicators of life, at least as important as income and education. In the future, if you go on a blind date, you shouldn’t forget to focus on the other person’s habits.
Highlight
- The three most abnormal phenomena in modern life: obesity, sedentary behavior, and aging before age.
- The most reliable way to cope with the above abnormal phenomena is to exercise.
- A concept of exercise is called “the hypothesis of “super-repair”. Exercise will start your body’s self-repair, which will not only repair the damage caused by this exercise, but also repair some of the body’s previous damage. Your body gets a small rebirth.
- The most cost-effective workout methods are now recognized in the academic world: moderate-intensity aerobics, moderate-high-intensity aerobics, high-intensity interval training, and strength training.